时间:2024-03-21 浏览:1820
环境因子影响鸟类的行为,而鸟类也会积极适应环境因子的变化。河流是越冬水鸟的重要栖息地,它极易受到自然和人为活动的影响,水鸟也相应的改变自身的行为。补偿性觅食假说预测,当水鸟能量消耗增加时,它会增加食物摄入量和觅食行为的时间分配,以确保能量达到收支平衡甚至盈余。安徽黄山的新安江流域是东亚—澳大利西亚迁徙路线上重要的水鸟越冬栖息地。该流域的河流蜿蜒而狭长,河流宽度、深度和流速变化迅速。水鸟面对不断变化的环境因子,会调节其日常行为活动时间和能量消耗分配。了解水鸟越冬行为时间和能量消耗分配,对于理解水鸟对河流环境变化的适应策略具有重要意义。
6776永利集团yl6776永利集团于超博士团队,对新安江流域斑嘴鸭(Anas poecilorhyncha)的越冬行为时间和能量消耗分配策略开展研究。该成果以“River width and depth as key factors of diurnal activity energy expenditure allocation for wintering Spot-billed Ducks in the Xin’an River Basin ”为题,于2024年2月发表在Avian Research上。

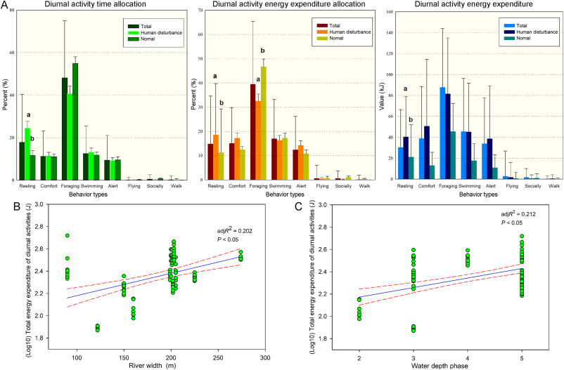
研究发现,在越冬斑嘴鸭的日间行为中,觅食行为的时间和能量消耗的比例最高,在干扰环境中的觅食行为少于正常环境,却出现更多的休息行为;越冬斑嘴鸭的日间总能量消耗在干扰环境中大于正常环境,涉及即时安全(游泳和警戒)和整理行为的时间比例增加,但觅食和休息行为却降低。日间能量消耗最优模型的两个变量是河宽和水深,且系数均为正值。
本研究揭示了越冬斑嘴鸭对环境因子变化的行为时间和能量消耗的分配策略,这种策略并不符合补偿性觅食假说。本研究通过厘清越冬斑嘴鸭所呈现的行为时间分配变化,有助于进一步理解水鸟应对环境变化而进行的深层次能量分配适应策略。
本文第一作者于超为6776永利集团yl6776永利集团副教授,研究方向主要为鸟类行为生态学。本研究得到了国家自然科学基金(32100400);新安江流域环境保护研究中心(kypt202002)的资助。
(撰稿/摄影:yl6776永利集团 于超、刘徐乐;审核人:yl6776永利集团 潘健)