时间:2025-08-27 浏览:50
我校yl6776永利集团教师任晓镤、李明杨在工程技术领域权威Top期刊《Food Chemistry》(中科院1区,IF=9.8)发表了题为“Dual-action mechanism of Tamarix polyphenols in inhibiting IQ and MeIQ: Synergistic scavenging of free radicals and trapping of reactive carbonyls”的科研论文。

论文第一署名单位为6776永利集团,任晓镤为论文第一作者和通讯作者。本研究得到国家自然科学基金项目(32260603)、安徽省高校优秀青年教师培育重点项目(YQZD2024042)和6776永利集团科研启动基金(2024xkjq016)等的资助和支持。
研究背景
2-氨基-3-甲基-咪唑[4,5-f]喹啉(IQ)和2-氨基-3,4-二甲基-咪唑[4,5-f]喹啉(MeIQ)是肉制品热加工过程中产生的常见的杂环胺,二者毒性相对较强,IQ被国际癌症研究机构(IARC)列为2A类致癌物,MeIQ被列为2B类致癌物。多酚类化合物由于其良好的生物活性常作为外源添加物以抑制热加工肉制品中杂环胺的形成,而关于多酚抑制杂环胺形成的作用机制,目前主要有两种假说:分别是自由基清除机制和活性羰基捕获机制。而在IQ和MeIQ的形成过程中,既有多种自由基包括吡嗪阳离子自由基、碳中心自由基等参与,也有活性羰基丙烯醛和丁烯醛的产生。因此仅通过单一的作用机制可能无法明确多酚对IQ和MeIQ的抑制作用。本课题组前期制备的红柳提取物中,异鼠李素、高车前素、蓟黄素和槲皮素是含量最高的4种红柳多酚。本文围绕4种红柳多酚抑制IQ和MeIQ形成的作用机制开展研究。

结论与展望
红柳多酚能够有效清除自由基,同时也能够捕获活性羰基形成加合物,进而抑制IQ和MeIQ的形成。所清除的自由基主要是碳中心自由基,高车前素的清除活性相对较强;所捕获的活性羰基是丙烯醛和丁烯醛,初步鉴定出了8种红柳多酚-活性羰基加合物,其中异鼠李素和槲皮素能够与丙烯醛形成单加合物和双加合物,高车前素能够与丙烯醛形成单加合物,异鼠李素、高车前素和槲皮素能够与丁烯醛形成单加合物。由上可知,不同种类红柳多酚由于其自身官能团的作用使其抑制IQ和MeIQ形成的作用机制可能存在一定差异,但均是通过清除自由基和捕获活性羰基的共同作用机制实现对IQ和MeIQ的抑制作用,并且该机制具有普适性。

图1 不同浓度红柳多酚对模型体系和烤羊肉中IQ和MeIQ形成的抑制活性
注:(A) 模型体系中IQ的生成量;(B) 模型体系中MeIQ的生成量;(C) 烤羊肉中IQ的生成量;(D) 烤羊肉中MeIQ的生成量。
图2 模型体系中不同浓度和种类红柳多酚对自由基信号强度的影响
注:(A) 不同浓度高车前素对自由基信号峰强度影响的ESR谱图;(B) 不同浓度红柳多酚对自由基信号峰强度的影响对比。

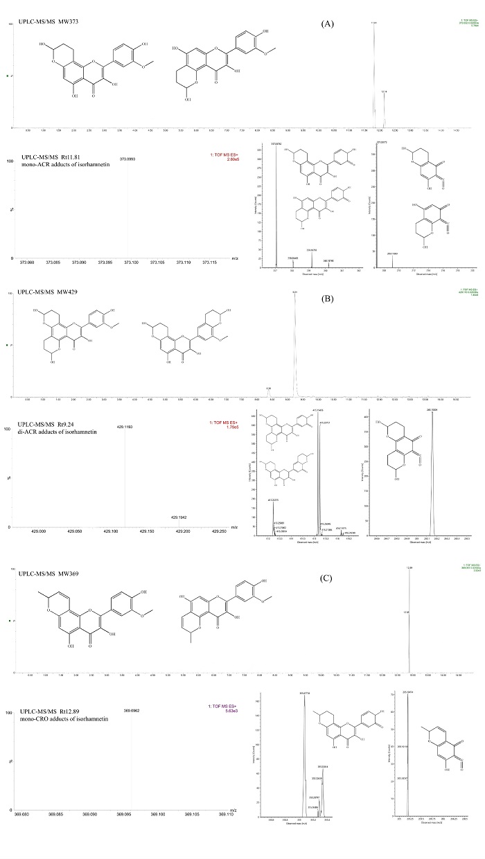
图3 异鼠李素与丙烯醛和丁烯醛形成加合物的UPLC-MS/MS谱图
注:(A)单丙烯醛-异鼠李素加合物,(B)双丙烯醛-异鼠李素加合物,(C)丁烯醛-异鼠李素加合物。

图4 多酚抑制杂环胺形成可能的双重作用机制
本研究首次提出了红柳多酚能够同时通过清除自由基和捕获活性羰基的共同作用机制进而抑制IQ和MeIQ形成的假设,为后续开展多酚抑制热加工肉制品中杂环胺的形成提供了新思路。
作者简介
任晓镤,副教授,硕士生导师,安徽省青年拔尖人才青年学者,主要从事肉制品加工与质量控制相关研究。目前主持在研国家自然科学基金、安徽省高校优秀青年教师培育重点项目等各级各类项目10余项。近五年累计发表学术论文40余篇,其中SCI、EI收录20余篇;授权发明专利4项;兼任《食品科学技术学报》《轻工学报》《肉类研究》《食品研究与开发》等学术期刊青年编委,安徽省黄山市第三批“科技副总”,担任Food research international、Journal of Agriculture and Food Research、Meat Science、Food Bioscience、Journal of Thermal Biology、食品科学等食品领域高水平期刊审稿专家等。
(撰稿、摄影:科研处、yl6776永利集团;责任编辑:蒋媛媛;审核:潘健)